行测数量关系:速解最不利原则问题
2023-12-22
来源:
阅读全文

在行测考试中,数量关系是考察的重点,同时也是诸多考生的难点,这是由数量关系题型多样、考法灵活等特点所决定的。但是在数量关系中,有很多看起来比较抽象,但实际属于简单的题目,很快就能得出答案。下面蓝图公考给大家介绍的就是简单题型当中的一种—“最不利原则”问题。

一、题型特征

题中出现“至少……才能保证……”或者“要保证……至少……”类似的问法,就考虑用最不利原则来解题。

二、解题原则

最终需要事件必须发生,用尽量不发生的思想解决。即找到最坏情况数或者说最不利(与成功仅有一线之差)情况数,之后再加1就可保证发生。

结论:所求=最不利情况数+1

三、经典例题

1.常规考法

【例】某研究所有三种学历的工作人员:博士13人、硕士26人、本科生38人。现在将每个人进行编号抽签,为了保证一次性选出16个相同学历的人员,则至少要抽取()个签。

A.43 B.44 C.45 D.46

【答案】B。中公解析:出现“要保证……至少……”问法,考虑最不利原则求解。即考虑最差情况,抽出博士13人、硕士15人、本科生15人,只要再抽出1即可满足条件,所求为13+15+15+1=44个签,选B。

注:当要保证n个相同的时候,那么每个种类先拿出n-1个,如果不满足n-1个的,可全部取出。

2.变形考法

【例1】梅花小区组织党员参与“两学一做”相关主题演讲、征文、摄影、书法和绘画五项比赛,要求每名党员参加其中的两项,无论怎么安排都发现至少有7名党员参加的比赛内容完全相同,问小区至少有()名党员。

A.50 B.51 C.60 D.61

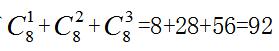
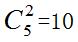
【答案】D。中公解析:从五项比赛中选择两项共有种情况,考虑最差情况,每种报名组合有6名党员,再有1名党员即可保证7名党员参加的比赛内容相同,故小区至少有10×6+1=61名党员,选D。

【例2】某大学二年级要进行下一学年的选修课报名。下一学年共有8科可选,每人至少要报1科,至多可报3科。若要保证至少有29人选择相同的科目组合,则需要多少人报名?

A.29 B.93 C.120 D.2577

【答案】D。中公解析:每人均可报1科、2科或3科,一共有(种)选修方法。当每种科目组合均有28人选择时,再多1人选择,就可保证至少有29人选择相同的科目组合,所求92×28+1=2577(人)。选D。

注:当要保证多个种类(组合)有n个相同时,则需要先把种类确定,然后再按照最不利原则进行求解。

以上就是利用最不利原则来解题的一些常见做法,求解的过程中,首先需要明确最不利情况数,再加1即可。通过以上的题目,蓝图公考希望大家对最不利原则的解题技巧有了一定的了解,然后再多多进行练习,做到能够快速求解。谢谢您的关注!